| This article refers to elements from The Dune Encyclopedia Pages for this subject as it appears in other canons: |
To help improve this article, select the EDIT option above.
Some or all of this article was copied from the following external source:
The Dune Encyclopedia
The Spice Melange, commonly referred to simply as 'the spice', was a naturally produced awareness spectrum narcotic that formed a fundamental block of commerce and technological development in the known universe for millennia. It also played an important role in travel and cultural development as it is vital for space travel by enabling Navigators to safely guide space ships through fold space.
Biological Activity[]
A complex biopolymer originating only on Arrakis. Its several biological activities include interaction with various centers of the central nervous system (CNS), interaction with the immune system, and deposition within the sclera of the eyes. To date the structure of the biologically active portion of spice has not been isolated, although it is known that other portions of the molecule contain glycoprotein, a cupric heme and cinnamic acid.
The interaction with the CNS is primarily within the Köhliker-Kramptz center, which controls time-space awareness. In most humans this center is rudimentary, consisting of only a small number of cells (K-K cells) in the central cortex of the brain. Ingestion of spice stimulates the growth of K-K cells so that the individual becomes more aware of his/her time-space environment. It is due to the action of the spice on the K-K cells that melange is addictive. If quantities in excess of 2 grams daily per 70 kilograms of body weight are ingested, severe addiction is encountered. Withdrawal from the spice from an addict results in insanity and eventual death due to the action of the breakdown products of K-K cells on the other cells within the CNS.
Bene Gesserit research suggests that females capable of becoming Reverend Mothers have inherently well-developed Köhliker-Kramptz centers. One theory proposed is that some component of the Köhliker-Kramptz center is genetically sex-linked. If that is true, then it is probable that Paul Atreides represented a mutation in that component rather that a tine product of the B.G. breeding program. This deviation is one explanation for the unique action of spice on the Atreides family. Precedent has been set for mutation in the genes controlling the Köhliker-Kramptz center. The Guild Steersmen were manipulated genetically so that they had highly developed Köhliker-Kramptz centers, although originally their genetic engineers did not know the exact location or composition of the time-space awareness center.
The geriatric properties of melange are considerable. The addict's predicted lifespan is increased two to four times that of normal, depending upon the age at which the spice was first ingested, as well as the dose. When the spice is digested, certain as yet unidentified breakdown products are absorbed into the bloodstream. These products interact with T-cells of the immune system, rendering the addict immune to most bacterial, fungal, parasitic and viral agents of disease. Moreover, changes which occur in body cells due to aging or malignant transformation are rapidly recognized and the cells are eliminated. Ingestion of spice also imparts an immunity to many common poisons.
One of the most striking results of a diet high in melange is the "Eyes of Ibad," the characteristic "blue on blue" eye color: the whites and irises of the eyes turn a deep blue. The precise mechanism of action is not known, but it is thought that certain components of melange have an affinity for the stroma of the sclera. The 640-Å axial periodicity of the collagen fibrils may entrap the melange components deposited because of the relative deficiency of water-binding substances in the sclera. The oblique arrangement and variability in collagen fibril diameter also serve to maintain the entrapment of the melange components.
Visual acuity is not reduced by the deposition of the blue pigment. In fact, in the white sunlight of Arrakis, the pigment acts as a blue filter, increasing contrast and enhancing vision.
The incomplete knowledge of the structure of melange hinders the understanding all the interactions of this unique compound with the human body.
Chemical Composition[]
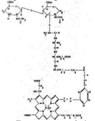
Chemical structure of Spice Melange
A complex biopolymer produced during the life cycle of the sandworm of Arrakis. The chemical structure of this remarkable geriatric pharmaceutical agent has not yet been fully elucidated, nor have attempts to produce the substance synthetically been successful.
Reports of the molecular weight of melange have varied from 100 x 106 to 2 x 10 [sic],[1] depending upon the method of determination. This led Nidim et al. to speculate that melange is a heterogeneous mixture of polymers of various sizes. The substance is hydrophilic, readily dissolved in aqueous solutions but not in organic solvents. To our best knowledge the polymer is composed of subunits of proteoglycan-heme derivatives of cinnamic acid. Siharis isolated subunits of the following structure through Shimmelson degradation:
Higher-resolution structure of Spice Melange. Notes: (1.) The cis/trans isomerism of the two alkene groups is uncertain. (2.) It is unknown if one or two copper ions coordinate the heme group.
The exact nature of the polymerization of these subunits is not known. Since tile isolated subunits have none of the geriatric properties of melange, we can assume that, during the degradation process, another bio-logically active, chemical moiety is lost. The deep blue color of melange is due in part to the presence of the heme group. It is believed, however, that the biologically active portion of the molecule possesses a fluorescent quality in certain light wavelengths.
With Lasl-Sync spectroscopy of refined melange, several free-radicals have been detected within the molecule. The manner in which these free-radicals are protected and their exact composition has not been shown. The presence of the free-radicals leads to the speculation that the biological activity resides in that portion of the molecule. Moreover, until the means of protecting the highly reactive free-radicals has been found, it is highly unlikely that this portion of melange will be isolated, much less synthetically produced.
See also[]
Notes[]
- ↑ Missing exponent?
Further references[]
- Alizhii Köhliker and Zhiemer Kramptz, "Unique Cells Present in the Brain Cortex of a Genetic Prescient," Journal of Interplanetary Medicine, 59:110-131
- Sin Qadrin, Static Barriers of the Cerebral Cortex (Richese: U. Of Bailey Press);
- R.M. Cassius Ida Treac, "New Views of an Old System," Archives Quarterly Review, 15:199-253;
- Javid sen-Garu, "Analysis of the Time-Space Awareness Centers of the Guild Steersman," Journal of Psychoperception, 23:821-829
- H. Nidim, T. Fenslow, and L. Shamo, Review of the Chemistry of Melange, (Caladan: Second Great House Conference on Chemistry), 13474
- Andre Shimmelson, "Interaction of Organolytic Acids with Biopolymers," Interplanetary Journal of Suk Pharmacy, 173:202-222.
